新しい九星気学

自分の九星を探す

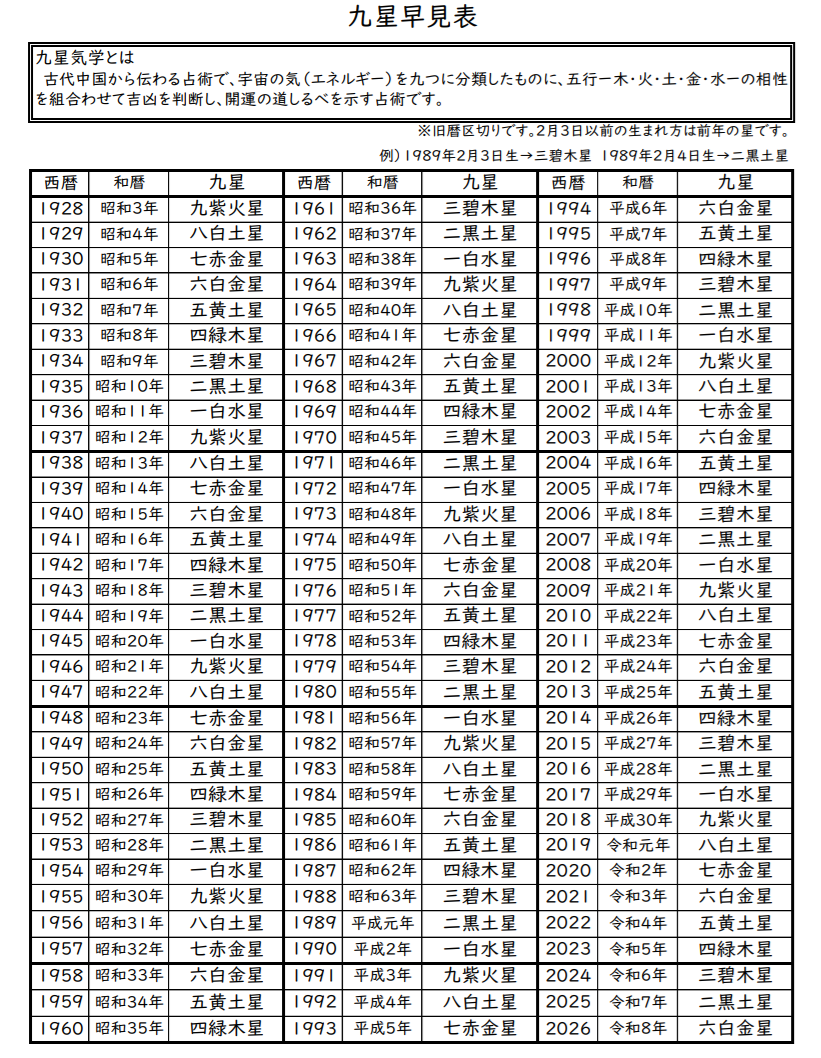
生まれ年で本命星が決まります。下記表からご自分の星を探します。
九星気学では立春(節分)で1年の区切りとなるため、1月1日~2月3日の生まれは、前年生まれとして扱います。
(例)
1989年2月3日生まれの方→三碧木星
1989年2月4日生まれの方→二黒土星

 

ご自分の星(本命星)が分かったら星の名前をタッチ

 

本命星から見た基本性格

 

新しい気のながれは、宇宙の変化によりもたらされました。その流れは、地球に波及しそこで生きる私たちの生活に影響を与えています。変化の流れが落ち着くまではめまぐるしく世相が変わっていきます。その波をどう乗り越えるか、答えはあなた自身が握っています。その答えが秘められている秘数を読み解く「秘数占星術」は、新しい九星気学のもたらす運命を良い方向へ導いてくれる占いです。

運勢は、その年や月日により変化しますが、本命星が持つ運命は「運命数」で形作られています。作られた枠組みを組み直して運命の歯車を良い方向へ変えること、あなたが望む未来を叶えるために必要な運命数が持つ「そうならない」ための善きアドバイスを示します。

 

 

当ページのイラストは、イラストレーター鈴木とろ(@ToloSuzuki)に帰属します。